ecl-logo Documentation

EmeraldBoxWhiskerChart

EmeraldBoxWhiskerChart[dataset]chart

creates a BoxWhiskerChart from the provided dataset.

EmeraldBoxWhiskerChart[datasets]chart

creates a BoxWhiskerChart displaying each dataset in datasets.

EmeraldBoxWhiskerChart[groupedDatasets]chart

creates a BoxWhiskerChart displaying each group of datasets in groupedDatasets.

Details

    Input
    Output
    Data Specifications Options
    Frame Options
    Grid Options
    Image Format Options
    Legend Options
    Plot Labeling Options
    Plot Range Options
    Plot Style Options
    General Options

Examples

Basic Examples  (4)

Create a Box-Whisker chart from a data set:

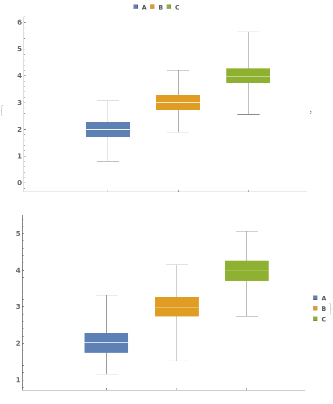
Create a Box-Whisker chart comparing multiple data sets:

Create a Box-Whisker chart comparing groups of data sets:

Create a Box-Whisker from a QuantityArray:

Additional Examples  (9)

Missing Data  (3)

Null values in a data set are ignored:

Null values in any data set are ignored:

Entire missing data sets also ignored:

Quantity Arrays  (4)

Chart a single data set given as a QuantityArray:

A list of quantity array data sets:

Given a QuantityArray containing a single group of data sets:

Given a 3D QuantityArray containing multiple groups of data sets:

Units  (2)

Data with units:

Data units can be different, but must be compatible:

Options  (57)

AspectRatio  (1)

Adjust the ratio of height to width in the chart:

Background  (1)

Set the background color of the plot:

BarOrigin  (1)

Specify the direction from which the box-whisker elements should be drawn:

BarSpacing  (4)

Specify the spacing between chart elements:

Specify the spacing between chart elements using explicit widths, where 1.0 corresponds to the width of a single box:

Specify the spacing between boxes and the spacing between groups, with the syntax {bars, groups}:

Set a negative spacing to force chart elements to overlap:

Boxes  (2)

Use swatch boxes in legend:

Use line segments in legend instead of swatch boxes:

ChartBaseStyle  (1)

Apply a style directive to all chart elements:

ChartLabels  (3)

Label each box:

Given nested data, label only the groups:

Label the rows and columns of the data:

ChartLayout  (2)

By default, EmeraldBoxWhiskerChart uses ChartLayout->Grouped:

ChartLayout options are residual, as box whisker charts are built off of bar charts. Though they can be used, chart layouts such as "Stacked" and "Percentile" are not sensible for box-whisker charts:

ChartStyle  (5)

Pass a single argument to ChartStyle to style all boxes the same way:

Style the chart using a named color scheme from ColorData[]:

Pass a list of arguments to ChartStyle to apply different styles to each box in each group:

Style each group the same way:

Style each group and each series of boxes in each group, in the format { {group1, group2,..}, {box1,box2,box3,...}}:

Epilog  (1)

Epilogs explicitly specified are joined onto any epilogs created by EmeraldHistogram:

Frame  (3)

Set Frame->True to use a frame on all four sides of the plot:

Set Frame->None to hide the frame:

Set Frame with format {{left,right},{bottom,top}} to selectively enable or disable frame walls:

FrameLabel  (2)

Specify frame labels for unitless data:

Override a default label:

FrameStyle  (2)

Apply styling to the frame of the plot:

Apply different stylings to each frame wall, referenced using {{left,right},{bottom,top}}:

FrameTicks  (1)

Set FrameTicks->None to remove ticks from the plot:

FrameTicksStyle  (2)

Apply styling to all FrameTicks in the plot:

Apply a different styling to each frame wall, using {{left,right},{bottom,top}} syntax:

FrameUnits  (1)

Specify a label and automatically append the data's units:

GridLines  (3)

Use either None or Automatic to specify {vertical,horizontal} gridlines:

Explicitly specify gridlines, e.g. to increase the grid resolution around particular values:

Specify each gridline as a {value,Directive} pair to apply specific styling to individual grid lines:

GridLinesStyle  (1)

Apply the same style to all grid lines in the plot:

ImageSize  (3)

Adjust the size of the output image:

Specify the size as a {width,height} pair:

Specify the size using keywords Small, Medium, or Large:

ImageSizeRaw  (1)

ImageSizeRaw is an option used for web-embedding, and otherwise has no effect on plot output:

Joined  (1)

Join box-whiskers in the same data grouping with a line:

LabelingFunction  (1)

Use a labeling function to automatically generate a label for each bar in 15pt bolded red text:

LabelStyle  (1)

Adjust the font size, font color, formatting, and font type of all labels in the plot:

Legend  (2)

Specify a legend:

Specify a legend:

LegendPlacement  (1)

Specify legend position:

PlotLabel  (2)

Label the plot with a centered plot title:

Apply a style directive to the plot label:

PlotRange  (2)

Specify plot range for primary data. Units in PlotRange must be compatible with primary data units:

Can mix explicit specification with Automatic resolution:

PlotRangeClipping  (1)

Set PlotRangeClipping->False to allow chart elements to display outside of the PlotRange:

Prolog  (1)

Use Prolog to add graphics to the plot that should be rendered before the plot data:

RotateLabel  (1)

By default, the y-axis frame label is rotated. Set RotateLabel->False to leave this label horizontal:

Scale  (1)

Create a Log BoxWhiskerChart:

TargetUnits  (2)

Specify target x-unit for data. If Automatic, the value is taken as the data's unit. TargetUnits must be compatible with the data's units:

Incompatible target unit triggers a message and returns $Failed:

Zoomable  (1)

Make the plot zoomable:

Messages  (2)

IncompatibleUnits  (2)

Incompatible units within a data set:

Incompatible units across data sets: