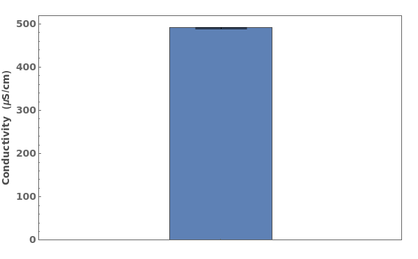
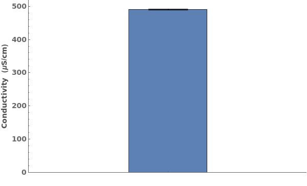
PlotConductivity
PlotConductivity[conductivityData]⟹plot
generates a graphical plot of the data stored in the pH data object.
Details
Input

Output

Data Specifications Options

Frame Options

Grid Options

Image Format Options

Legend Options

Plot Labeling Options

Plot Range Options

Plot Style Options

General Options
