ecl-logo Documentation

PlotTrajectory

PlotTrajectory[trajectory]plot

plots the concentration of all species in trajectory versus time.

PlotTrajectory[trajectory,species]plot

plots only the concentrations of species.

PlotTrajectory[trajectory,indices]plot

plots only the species in trajectory whose positions match the indices.

PlotTrajectory[trajectory,n]plot

plots only the n most abundant species. If n<0, plots the n least abundant species.

Details

    Input
    Output
    Data Specifications Options
    Fractions Options
    Frame Options
    Grid Options
    Image Format Options
    Ladder Options
    Legend Options
    Plot Labeling Options
    Plot Range Options
    Plot Style Options
    Secondary Data Options
    General Options
    Messages
  • BadSpeciesThe following species are not present in the Trajectory: `1`
    NoSpeciesThere are no valid species to plot

Examples

Basic Examples  (4)

Plot a kinetic simulation object:

Plot a list of simulation objects:

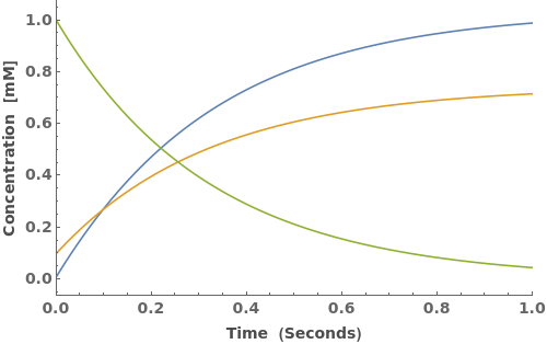
Plot all species in a trajectory:

Plot only species a and g:

Additional Examples  (4)

Plot only the second and fourth species:

Plot the 3 most abundant species:

Plot the 5 least abundant species:

Mixed list of species types:

Options  (17)

Draw  (1)

Specify what the mouseover shows:

ImageSize  (1)

Specify the plot size:

Legend  (1)

Automatically resolve the legend based on the species names:

LegendPlacement  (1)

Adjust the legend position:

SecondaryData  (4)

By default, SecondaryData is displayed only if its values vary with time:

Force the display of secondary data, even if it's a constant value:

Plot Volume first on secondary axis:

Plot only Temperature on secondary axis:

SecondYUnit  (2)

Specify unit for second-y axis of temperature:

Specify unit for second-y axis of volume:

TargetUnits  (3)

Specify x & y units:

Specify x unit:

Specify y unit:

Temperature  (1)

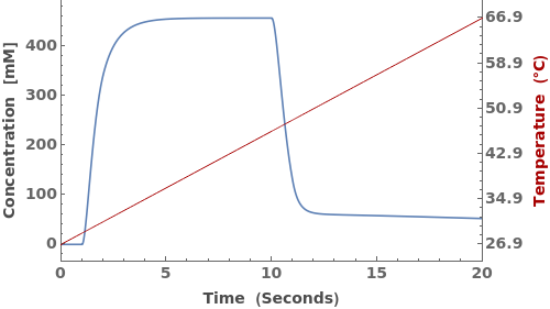
Specify a temperature profile for the second y axis:

Tooltip  (1)

Specify labels to appear above each trajectory on mouseover:

Volume  (1)

Specify a temperature profile for the second y axis:

Zoomable  (1)

Toggle the interactive zoom feature:

Messages  (4)

BadSpecies  (1)

Bad species specification:

InvalidIndices  (1)

Invalid species index specified:

InvalidNumberOfSpecies  (1)

Too many species requested:

NoSpecies  (1)

No valid species: